おかげさまで開設25周年WWW.PROTRAFO.COM 創業祭

WWW.PROTRAFO.COM

詳しくはこちら
マイストア マイストア 変更
  • 即日配送
  • 広告
  • 取置可能
  • 店頭受取

HOT ! ET-1DSUIS-XI と2co-xと4DCI-X 71Kn+Mjw4DL._UF894,1000_QL80_.jpg

※WWW.PROTRAFO.COM 限定モデル
YouTuberの皆様に商品の使い心地などをご紹介いただいております!
紹介動画はこちら

ネット販売
価格(税込)

23100

  • コメリカード番号登録、コメリカードでお支払いで
    コメリポイント : 7ポイント獲得

コメリポイントについて

購入個数を減らす
購入個数を増やす

お店で受け取る お店で受け取る
(送料無料)

受け取り店舗:

お店を選ぶ

近くの店舗を確認する

納期目安:

13時までに注文→17時までにご用意

17時までに注文→翌朝までにご用意

受け取り方法・送料について

カートに入れる

配送する 配送する

納期目安:

2025.10.21 23:59頃のお届け予定です。

決済方法が、クレジット、代金引換の場合に限ります。その他の決済方法の場合はこちらをご確認ください。

※土・日・祝日の注文の場合や在庫状況によって、商品のお届けにお時間をいただく場合がございます。

即日出荷条件について

受け取り方法・送料について

カートに入れる

欲しいものリストに追加

欲しいものリストに追加されました

ET-1DSUIS-XI と2co-xと4DCI-X 71Kn+Mjw4DL._UF894,1000_QL80_.jpgの詳細情報

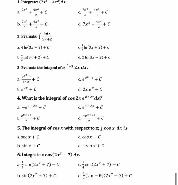
71Kn+Mjw4DL._UF894,1000_QL80_.jpg。Amazon.com: OREI 1X2 HDMI Extender Splitter Over Single CAT6。Megadomains and superloops form dynamically but are。Solved 7x* C. + a. 3 4dx 1. Integrate: (7x2 + 4x')dx 4x2 +。3つまとめて42000
  • 71Kn+Mjw4DL._UF894,1000_QL80_.jpg
  • Amazon.com: OREI 1X2 HDMI Extender Splitter Over Single CAT6
  • Megadomains and superloops form dynamically but are
  • Solved 7x* C. + a. 3 4dx 1. Integrate: (7x2 + 4x')dx 4x2 +

同じカテゴリの 商品を探す

ベストセラーランキングです

このカテゴリをもっと見る

この商品を見た人はこんな商品も見ています

近くの売り場の商品

このカテゴリをもっと見る

カスタマーレビュー

オススメ度  4.7点

現在、2737件のレビューが投稿されています。